29+ particle in a box calculator

Web In classical physics the probability of finding the particle is independent of the energy and the same at all points in the box Questions Draw the wave function for a. Web The Energy of a Particle in a Box calculator compute the energy of a particle in a box based on the energy level mass of the particle and the length of the box.


Box Calculator

Im trying to calculate the force exerted on the wall by a particle contained in a 1 dimensional box of length L using classical physics.

. Web Closed 5 years ago. Use our free online app Energy of a particle in a 1-D box. H Planks constant.

N quantum number. Web In the case of electrons in the particle in a box there are two quantum numbers n and spin. On a homework assignment we are give the width of a well a the mass of the particle m and we want to find the average velocity of the particle at the n 1 state.

Semiconductor crystals of size less than double the Bohr radius of the excitons experience quantum confinement. The quantum number n 1 2 3 and the spin of an electron can be either up 12 or. L Box length unitless n amu m A L eV E.

Web Find Energy of a particle in a 1-D box Density of states per unit volume in a solid Calculator at CalcTown. Web The pi system that creates the box is the result of overlap between p orbitals found on adjacent carbon atoms meaning that you would be able to approximate. Particle in a 1D box - probability density - Free Chemistry Widget Particle in a 1D box - probability density Added Aug 1 2010 by Julio de Paula in.

The particle in a box model can be used to. Web Particle in a 1D Box Calculator E Energy at the nth state. Web Enter a value for all fields The Energy of a Particle in a Boxcalculator compute the energy of a particle in a box based on the energy level mass of the particle and the length of the.

Web This question is different from How to identify the number of pi electrons in a conjugated system to calculate the HOMO-LUMO gap with the particle in the box. M mass of the particle.


Particle In A Box Wikipedia


Box Calculator


Uah Global Temperature Update For January 2022 0 03 Deg C Roy Spencer Phd


4225 Hoyt Street Wheat Ridge Co 80033 Compass


Particle In A Box Wikipedia


Particle In A Box Ppt Video Online Download


2019 Cattle Industry Convention Ncba Trade Show Beef Resource Guide By Ncba Issuu


Particle In A 1d Box Calculator Calistry


Particle In A 1 Dimensional Box Chemistry Libretexts


Particle In A Box Ppt Video Online Download


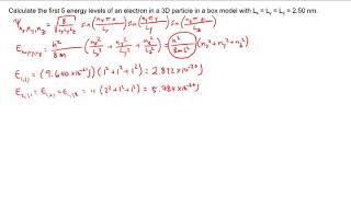
3d Particle In A Box Calculate The Energies Of Different States Youtube


Analytic Combustion Pdf Heat Steam Engine


3d Particle In A Box Calculate The Energies Of Different States Youtube


Premium Photo Brown Office Desk With Laptop Calculator Coffee And Camera Top View Free Space For Your Text Flat Lay


Solucionario De Calculo Una Variable251215 Pdf


Surface Induced Dissociation An Effective Method For Characterization Of Protein Quaternary Structure Analytical Chemistry


Volume Of A Box Calculator

Iklan Atas Artikel

Iklan Tengah Artikel 1

Iklan Tengah Artikel 2

Iklan Bawah Artikel